Listas las tijeras para cortarle la luz a instituciones y empresas deudoras con la Empresa Nacional de Energía Eléctrica (ENEE).
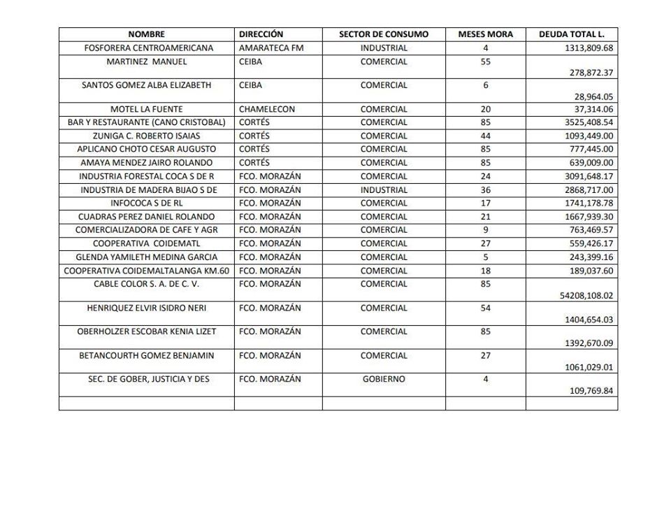
La Comisión Interventora de la Estatal eléctrica presenta ante la opinión pública un lista de dependencias del Estado y comercio morosas con la ENEE.
En la lista de deudores aparece la Empresa Hondureña de Telecomunicaciones (Hondutel), con una mora de más de 93 mil lempiras.
Te podría interesar: Hondutel sobrepasa pérdidas de 353 millones de lempiras

Entre enero y diciembre del año pasado, las instituciones de la Administración Central abonaron a la deuda con la ENEE la suma de 96 millones de lempiras y las autónomas lo hicieron por un monto de 97 millones.

De acuerdo con los informes de la Empresa Nacional de Energía Eléctrica, tanto las dependencias centralizadas como los entes autónomos facturaron el año pasado sobre la base de una tarifa de cuatro lempiras con 74 centavos el kilovatio-hora en el primer semestre del año anterior.

